beat365亚洲体育官方网站
beat365亚洲体育官方网站
beat365亚洲体育官方网站

beat365亚洲体育官方网站2020-2021学年国家助学金发放通知

浏览:44635 作者: 来源: 时间:2020-11-10 分类:新闻-通知公告

各二级学院:

beat3652020-2021学年国家助学金(16级、17级、18级、19级)已经评审完毕,定于2020年11月12日开始陆续发放至学生提供的银行卡中。

为进一步强化我校各项奖、助学金使用纪律,根据国家、省有关文件规定,各学院要提早做好预防教育工作,坚决不允许违规使用各类奖、助学金,禁止进行二次分配或者以提留班费、学生活动经费等各种名义侵占、挪用、收取学生的奖助学金;禁止安排学生平分奖助学金;禁止变相收取受资助学生好处;禁止受资助学生进行请客、送礼、奢侈消费等活动,若发现有类似问题,学校将根据规定对有关当事人进行严肃处理。

国家助学金是用于资助家庭经济困难学生,帮助他们顺利完成学业、解决生活费的资助金。各学院应以本次奖助学金发放工作为契机,开展感恩、诚信、励志等方面的教育活动,进一步加大对受助学生的教育和引导,强化学生诚信、感恩意识,激励广大学生奋发向上,促进优良学风建设。

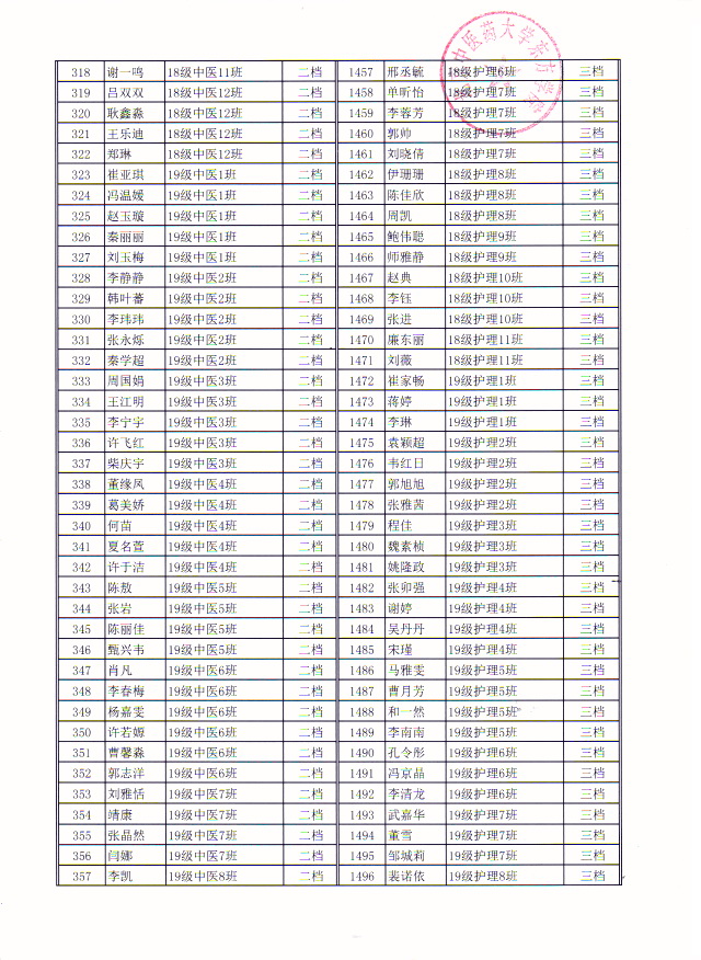
附: 2020-2021学年国家助学金发放名单(16级、17级、18级、19级)

 

beat365亚洲体育官方网站

2020年11月10日

123456789101112131415161718192021222324252627282930

热点新闻
beat365亚洲体育官方网站