beat365亚洲体育官方网站
beat365亚洲体育官方网站
beat365亚洲体育官方网站

公示||2019-2020学年学院奖学金获奖学生名单

浏览:46563 作者: 来源: 时间:2020-12-11 分类:新闻-通知公告

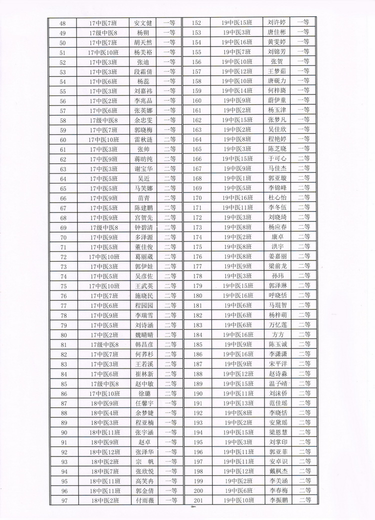
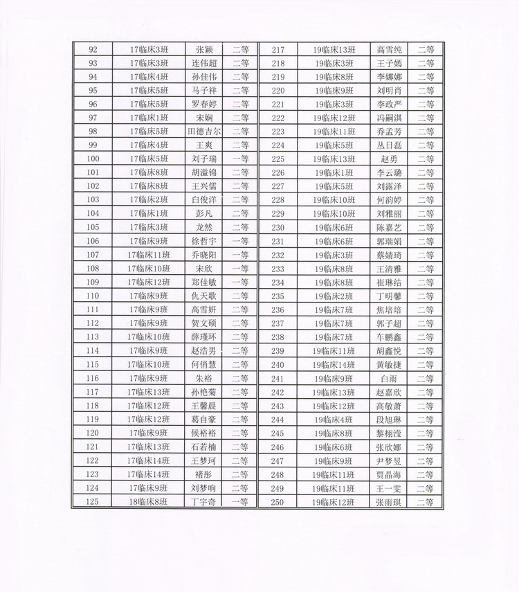
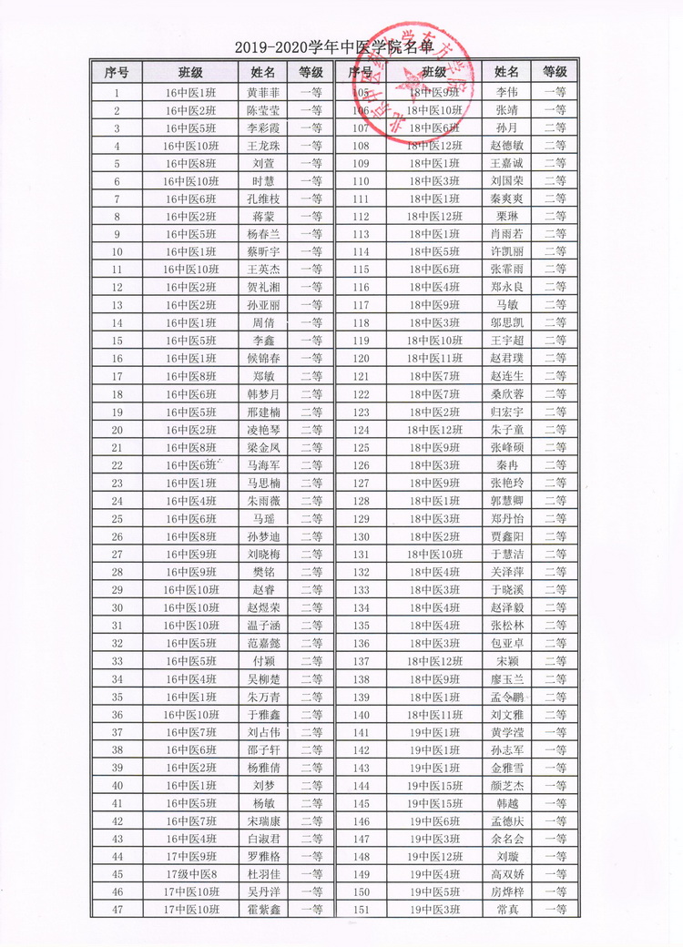
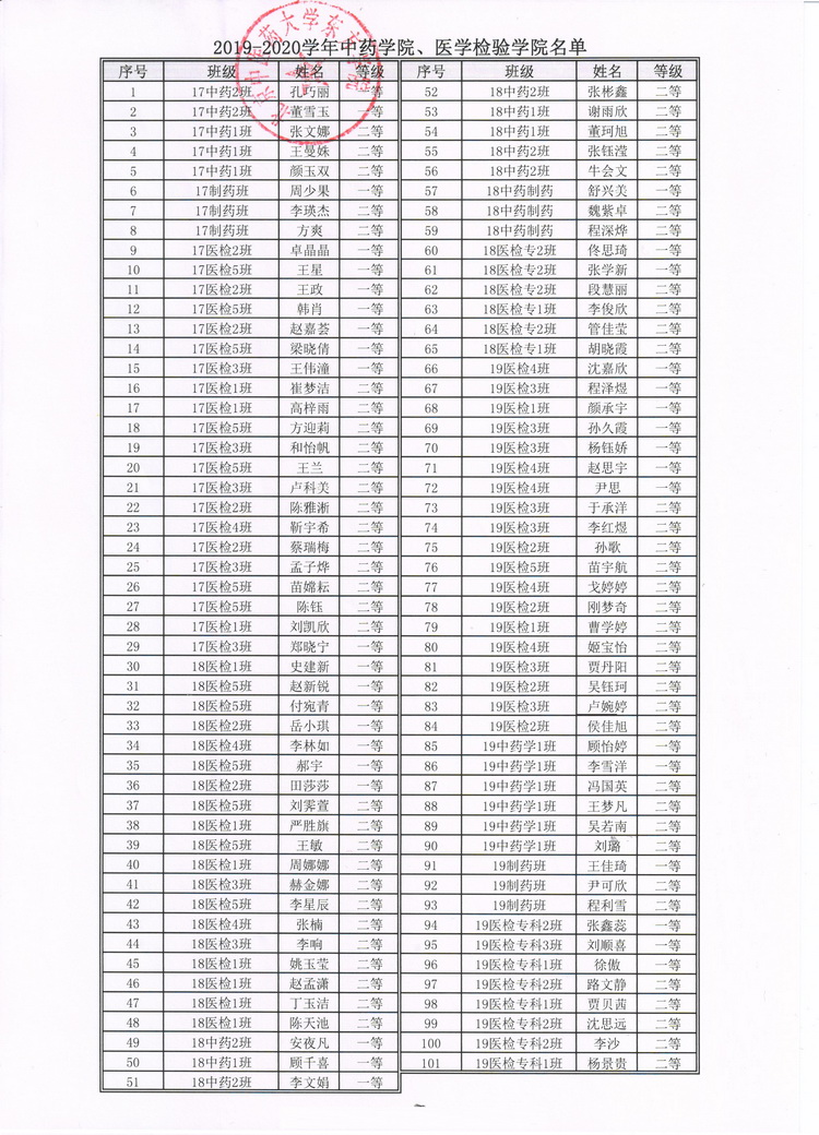
按照beat365《本科学生奖学金申报评比制度》规定,各二级学院在九月份组织开展了综合量化考核,根据考核结果进行beat365亚洲体育官方网站奖学金评选,评选结果分别在班级、院系进行公示,无异议后上报学生处,现将全院获得奖学金学生名单公示如下:(名单后附)

公示期限为:自2020年12月11日起至2020年12月17日止。如有异议,请于2020年12月17日17:00以前通过以下联系方式反映:电话:0316-6058600。

附:2019-2020学年中药学院、医学检验学院名单

    2019-2020学年管理学院名单

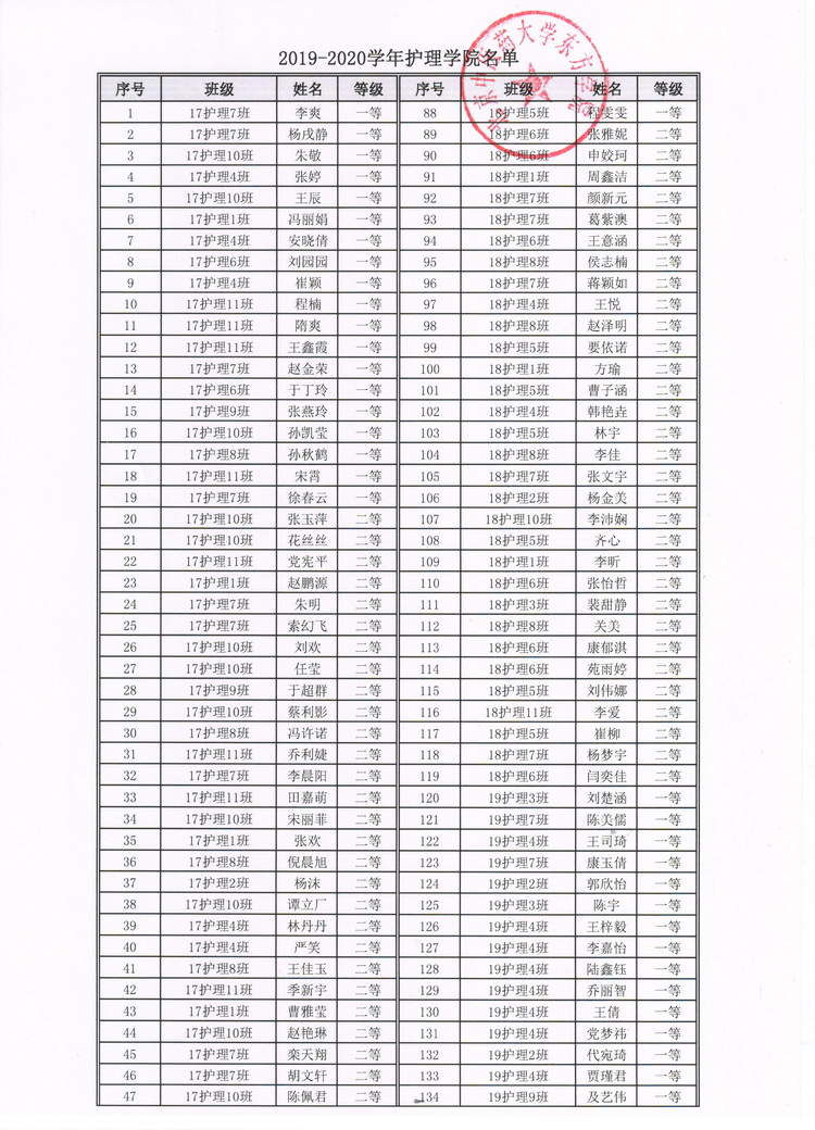
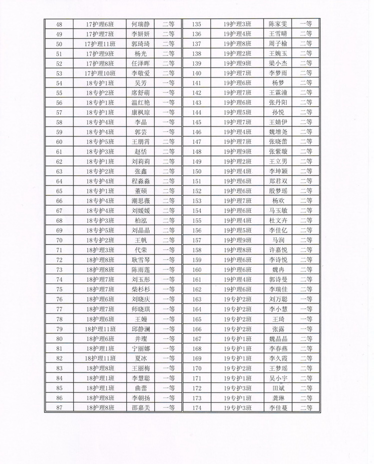
2019-2020学年护理学院名单

2019-2020学年针灸推拿学院、中医养生康复学院名单

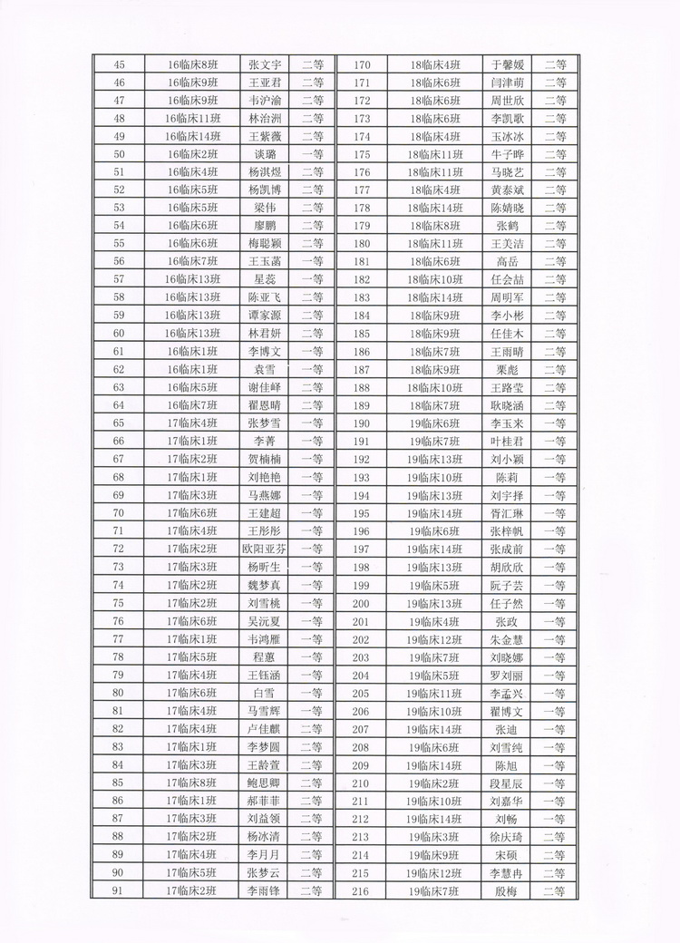
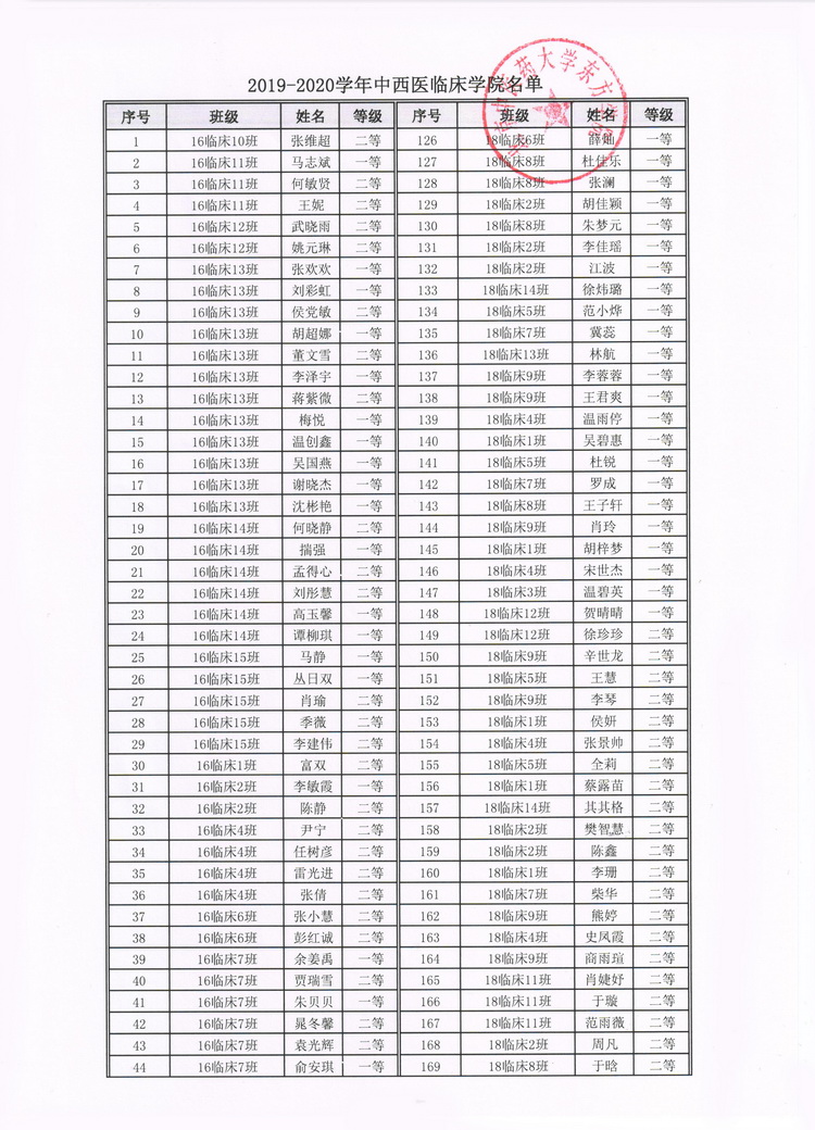
2019-2020学年中西医临床学院名单

2019-2020学年中医学院名单

 

beat365亚洲体育官方网站

2020年12月11日

001002003004005006007008009010011012013

热点新闻
beat365亚洲体育官方网站